Buljubašić, Ivana – Andrijana Kos-Lajtman. 2015. Romani Jasne Horvat kao (post)oulipovski narativi. U: Jezik, kultura i književnost u suvremenom svijetu (zbornik). Ur. T. Turza-Bogdan, V. Legac, A. Kos-Lajtman, B Filipan-Žignić, Đ. Blažeka. Str. 93–111. Zagreb: Učiteljski fakultet u Zagrebu.
Osnovna teza rada jest da romaneskni diskurs Jasne Horvat korespondira s programskim načelima diskursa skupine Oulipo (Ouvroir de Littérature Potentielle). U radu se najprije podsjeća na odrednice Oulipoa (Radionice potencijalne književnosti), na njegove najznačajnije predstavnike te na složenost dekonstrukcije njihova konstrukcionizma. U romanima Jasne Horvat Az (2009), Bizarij (2009), Auron (2011), Vilikon (2012) prepoznaje se oulipovska perspektiva, ali i njezina autorska modifikacija. Potonje se prije svega očituje u činjenici da četiri navedena romana hibridnog karaktera (svojevrsni romani-projekti), ostvaruju tzv. ikonički tip konceptualizacije te tako dograđuju temeljna oulipovska polazišta. Uz ikoničke koncepte razmatraju se postupci osebujnih književnih permutacija i srodnih postupaka (generirani najviše iz matematke) prezentirani u navedenim romanima koji se dovode u vezu sa srodnim oulipovskim diskursima.
1. Uvod
U odnosu na raniju književnost dvadesetostoljetna književnost sve se više usredotočuje na jezik i njegovu praktičnu izvedbu, dodjeljujući mu povlašten status. Osobito je postmodernistička formacija osnažila, pa i radikalizirala pristup jeziku, napuštajući tradicionalnu povezanost jezične i spoznajne razine iskaza u korist prve. Posljedica navedenog jest da apsurd ljudske egzistencije, karakteristična tema/svjetonazor modernističkog narativa, u postmodernističkom diskursu uzmiče pred semantičkim paradoksom (Solar, 2005, 7-23). Snažna retorizacija diskursa (usp. Bagić, 2012, 8) postaje jedan od bitnih odrednica postmodernističkih tekstova, a prati ju i teorijska obnova, posebice orijentirana na stilske figure. Spoznaje o figurama, osobito kroz praktičnu izvedbu, značajno su obogatili pripadnici skupine Oulipo (isto). Oulipovci su zaslužni jer su „brojnim i raznovrsnim stilskim vježbama propitivali utjecaj prisile na stvaranje“1 (isto), istovremeno ne negirajući semantičku i spoznajnu razinu teksta. Upravo zbog svojevrsnog amalgamskog statusa u smislu povezivanje i prožimanja ključnih odrednica modernističkih i postmodernističkih kanonskih poetičkih odrednica – spoznajne razine s onim sintaktičkom (narativnom, formalnom) – tekstove skupine Oulipo moguće je uspoređivati s onima hrvatske književnice Jasne Horvat (usp. Kos-Lajtman, 2011). Ključna točka usporedbe koja će se detaljnije razrađivati u ovom radu prije svega su matematički principi presudni za modeliranje kako tekstova skupine Oulipo, tako i romana ove suvremene hrvatske književnice. Navedena srodnost, u smislu korespondiranja ključnih obilježja i intencija dviju poetika, ne samo da do sada nije bila zamijećena nego se i o samom Oulipou i njegovoj ulozi u suvremenim književnim i teorijskim kretanjima druge polovice 20. i početka 21. stoljeća u našoj znanosti malo zna.
2. Skupina Oulipo i oulipovska poetika
2.1. Osnutak i ciljevi
24. studenog 1960. povijest književnosti, posebice francuske, pamtit će kao dan kada je održan prvi sastanak skupine Oulipo (Lescure, 2003, 172). Oulipo, (Ouvroir de littérature potentielle2/Radionica potencijalne književnosti3) osnovao je François Le Lionnais s Raymondom Queneauom, a skupina je okupljala uglavnom francuske književnike i matematičare. Prvotni naziv bio je S.L.E. (Sélitex; séminaire de littérature expérimentale/Seminari eksperimentalne književnosti), a tek je 19. prosinca 1960. preimenovana u Oulipo (isto, 172). Cilj je skupine bio, kako govori i sam naziv, pronalaženje novih potencijalnih struktura, uzoraka i modela koje će se koristiti pri stvaranju književnih tekstova. Članovi skupine Oulipo eksperimentiraju s tehnikama pisanja, najčešće koristeći matematičke permutacije ili matematičke probleme i obrasce u oblikovanju tekstova. Ti su obrasci i tehnike ponajprije ograničenja koja oulipovci postavljaljaju i testiraju na svojim radionicama. Iako su svoja ograničenja primjenjivali najčešće u poetskim tekstovima, postoje i prozna ostvarenja izgrađena na istim principima.
2.2. Članovi i principi funkcioniranja
Jacques Roubaud, obrazlažući konceptualne i tematske značajke Oulipoa, prvotno naglašava kako je otac oulipovske koncepcije literature Ramon Llull4 (Raubaud, 2005, 37). Oulipo predstavlja fenomen u francuskoj književnosti, različit od svih prethodnih pravaca i književnopovijesnih stilova koji su nastajali uglavnom kao reakcija na prijašnju književnost (kroz nehijerarhijske organizacije, uz brzo pojavljivanje i brzo nestajanje). Oulipo nije formiran poput ostalih pokreta i pravaca – riječ je o otvorenoj skupini koja se može povećavati prihvaćajući nove članove, no nitko ne može biti izbačen iz Oulipoa, niti članovi mogu odustati od Oulipoa i prestati mu pripadati.5 Uz radikalna pravila koja izdvajaju Oulipo od ostalih skupina, brojni su i oulipovski rituali, primjerice, jednomjesečno okupljanje na kojemu testiraju novootkrivena ograničenja na način da članovi pokušavaju pisati po novom ograničenju. Skupina djeluje i danas, no manjim intenzitetom nego posljednjih desetljeća 20. stoljeća. S obzirom na najvažnije značajke, sljedeća tablica nudi odgovore na pitanja što je Oulipo (Queneau, 1986, 51-64).
Tablica 1. Temeljne značajke skupine Oulipo
|
Što Oulipo nije? |
Što Oulipo jest? Kakva su njihova istraživanja? |
|---|---|
|
1. Oulipo nije književni pokret ni škola. Postavljaju se izvan estetičkih vrijednosti, iako ih ne podcjenjuju. |
1. NAIVNA
|
|
2. Oulipo nije ni znanstveni seminar ni ‘ozbiljna’ radna skupina, iako u njoj sudjeluju i profesori s filozofskih i prirodno-matematičkih fakulteta. |
2. ZANATSKA
|
|
3. Nije riječ o eksperimentalnoj književnosti, ali ni o onoj koja nastaje slučajno. |
3. ZABAVNA
|
|
Što Oulipo nije? |
|---|
|
1. Oulipo nije književni pokret ni škola. Postavljaju se izvan estetičkih vrijednosti, iako ih ne podcjenjuju. |
|
2. Oulipo nije ni znanstveni seminar ni ‘ozbiljna’ radna skupina, iako u njoj sudjeluju i profesori s filozofskih i prirodno-matematičkih fakulteta. |
|
3. Nije riječ o eksperimentalnoj književnosti, ali ni o onoj koja nastaje slučajno. |
Što Oulipo jest? Kakva su njihova istraživanja? |
1. NAIVNA
|
2. ZANATSKA
|
3. ZABAVNA
|
Uz osnivače, poznatiji su članovi skupine Oulipo: Noël Arnaud, Marcel Benabou, Claude Berge, Italo Calvino, Luc Étienne, Jean Lescure, Harry Mathews, Georges Perec, Jacques Roubaud.
2.3. Oulipo i matematika
Jedna od temeljnih odrednica Oulipoa jesu ograničenja vezana uz matematiku. Kada su osnivali Oulipo Le Lionnais, matematičar, i Queneau, amater i poklonik matematike, imali su na umu avangardnu skupinu Bourbaki6 koja je objedinjavala matematičare i bavila se teorijom skupova. Oulipovci su imitirali radove skupine Bourbaki, ali su ih istodobno i parodirali. Bourbaki i Oulipo imali su slične tendencije – temeljito preispitati i preispisati sadržaje iz područja svojih bavljenja, Bourbaki matematičke principe, Oulipo mogućnosti primjene matematičkih principa u književnosti7. Oulipo je bourbakijevske ciljeve i metode postavljene u domeni teorije skupova prenosio u domenu umjetnosti i jezika. Za razliku od Bourbaki skupine, oulipovci, međutim, nisu toliko rigorozni, ne isključuju i druge potencijalne pristupe i nisu tajno udruženje. Djelovanje oulipovaca nije usko vezano za jednu domenu, već udružuju ponajmanje dvije domene – književnost i matematiku – te okupljaju različite kombinacije članova.8
Važno je napomenuti da Oulipou nije prvotna namjera stvarati književna djela, a oulipovske tekstove mogu pisati i nečlanovi. Članovi ne polažu pravo na neki tekst, već se on jednostavno smatra oulipovskim. Stoga, namjera je Oulipoa osmisliti, ili ponovno osmisliti, ograničenja formalne prirode i predložiti ih entuzijastima zainteresiranima za preispitivanje novih književnih mogućnosti.
2.4. Rad kao suradnja
Glavna značajka oulipovskog manifesta jest isticanje suradnje kao temeljnog kriterija skupine. Na svakom sastanku slijedi se strogi i nepromjenjivi red, gdje je neizostavni dio „stvaranje“ („creation“) – prezentiranje i rasprava o novim ograničenjima. Budući da je rad suradnja, svi doprinosi skupine također su zajednički. Dvije su osnovne tendencije Oulipoa koje obrazlaže Le Lionnais u prvom oulipovskom manifestu (Le Lionnais, 1986, 27):
1. analitička tendencija (anoulipizam): istraživanje tekstova iz prošlosti i pronalaženje mogućnosti koje često prelaze one koje su njihovi autori anticipirali u njima.
2. sintetička tendencija (sintoulipizam): cilj je uvođenje novih mogućnosti, nepoznatih prethodnicima – usmjerena je inovaciji i predstavlja samu bit oulipovskog poziva.
2.5. Anticipirani plagijat
Temeljem provokativnih primjena ograničenja Oulipo prepoznaje svoje prethodnike, u smislu da prethodnicima smatraju one autore koji su neovisno o vremenu i prostoru koristili metode kasnije proglašene oulipovskim ograničenjima (Mathews i Brotchie, 2005, 211). Anticipiranim plagijatom tako nazivaju svako korištenje ograničenja u paleo-oulipovskim tekstovima, dok su autori tih tekstova anticipirajući plagijatori.9 Odnosno, anticipiranim plagijatom naziva se tekst koji je skriveno nadahnut tekstom nekog budućeg autora (Bayard, 2010).
2.6. Ni moderna ni postmoderna
Kao rezultat primjene ograničenja, ali i u vremenskom smislu, oulipovska književnost nastaje u svojevrsnom međuprostoru između modernističkih i postmodernističkih dominanti. Roubaud tako navodi da je oulipovska književnost tradicionalna književnost koja ima elemente i suvremene književnosti (Roubaud, 2005, 40). Poznato je da postmodernistička književnost nije inovativna u smislu novih strategija jer koristi već poznate tehnike, međutim, na način njihova netradicionalnog recikliranja i kombiniranja. Prema mišljenju samih oulipovaca, potencijali njihove književnosti nalaze se u onome što bi ona tek mogla ostvariti i postati u budućnosti. Inoviraju i ponovno otkrivaju već poznato, eksperimentiraju s postojećim i budućim književnim izričajima, stoga je i njihovo ime moguće shvatiti dvojako – kao radionicu književnih potencijala, ali i kao radionicu potencijalne književnosti.
2.7. Ograničenja kao kriterij za konstruiranje djela
Ograničenje (franc. contrainte, engl. constraint10) jest pojam koji označuje osnovni element u oulipovskoj praksi. Svako ograničenje definirano je pravilo, metoda, postupak ili struktura iz koje proizlazi tekst koji se može nazvati oulipovskim (Mathews i Brotchie, 2005, 131). Pojam ograničenja oulipovci svjesno suprotstavljaju pojmu inspiracija, ne priznajući potonji u tradicionalnom smislu (Motte, 1986, 10-11, 86, Le Lionnais, 1986, 26). Iz toga proizlazi oulipovska praksa korištenja ograničenja za generiranje novih ideja i modela u književnosti i to ograničenjima kao konceptom književnog teksta.
Ograničenja koja postavljaju kao koncept svojih tekstova nisu primarno književna, već neki općepoznati kodovi preuzeti iz mnogih znanosti, ponajprije matematike. Ideje za ograničenja crpili su i iz samog jezika kao medija tekstualnog prijenosa. Tu su ponajprije oni koncepti koja omogućuju kombinacije slaganja – kako najbrojnija slaganja omogućuje sintaksa, ograničenja su primarno sintaktička (usp. Mathews i Brotchie, 2005, 226). Kod nekih ograničenja i njihovih utjecaja na tekst, npr. Alfabetical Africa Waltera Abisha (1974), očito je preklapanje i sintaktičkog i semantičkog ograničenja te je u takvim primjerima gotovo nemoguće razaznati sintaktičku i semantičku razinu utjecaja. U proznim su ostvarajima korištena i grafemska ograničenja, primjerice, lipogramska koja se također često preklapaju sa semantičkim razinama.
Oulipovci definiranje ograničenja započinju razmišljanjem o permutacijama, jednim od osnovnih kombinatoričkih načela, koja se posebno uvažavaju kao ograničenja pri pisanju proznih tekstova.11 Sljedeća su ograničenja po važnosti lipogrami, te palindromi. Proznih je ograničenja manje, kao i uostalom, proznih oulipovskih ostvaraja.12
2.7.1. Lipogrami
Lipogram, figura dikcije i konstrukcije, podrazumijeva namjerno ograničavanje teksta u kojemu autor ne upotrebljava jedno ili više slova abecede (Bagić, 2012, 180). Lipogrami kao figure dikcije omogućuju višestruka ponavljanja i kombiniranja preostalih slova nakon odluke o namjernom ispuštanju određenog slova. To je gotovo neodvojivo od lipograma kao figure konstrukcije koja bitno utječe na slaganje riječi u rečenice, ali i izvedbu cijeloga teksta. Lipogram pretpostavlja potpuno osvještenje glasovnog sastava svake riječi te potragu za njezinom bliskoznačnicom, sintaktičkom inačicom, odustajanje od pojednih glagolskih oblika, veznika ili čestica te pribjegava skraćivanju riječi (isto, 180). Uvjetuje i dosljednost u pisanju te odustajanje od standardne jezične norme.13
2.7.2. Palindromi
Palindromi, figura dikcije, jesu riječi, stihovi, rečenice ili čitavi iskazi koje je moguće čitati s lijeva na desno i s desna na lijevo, a u oba smjera grafemski je slijed isti (isto, 218). Interaktivna je figura jer traži potencijalnog čitatelja koji će osvijestiti istaknutu strukturu bez obzira na smjer čitanja ili granice između riječi koje nisu iste.
Najpoznatija matematička palindromska struktura pojavljuje se u tzv. magičnom kvadratu koji se čita okomito i vodoravno (isto, 222).14 Među magičnim kvadratima poznatiji su oni brojevni, npr: magični kvadrat 3. reda, odnosno magični kvadrat broja 15:
2.7.3. Permutacije
U matematičkoj kombinatorici permutacija se definira kao bilo koji poredak od n elemenata u određenom nizu na način da u izračunavanju sudjeluju svi elementi, a naglasak je na rasporedu elemenata (Horvat i Mijoč, 2012, 223). Mogu biti s ponavljanjem i bez ponavljanja, no u oba slučaja redoslijed elemenata niza vrlo je važan. U književnosti permutacija može biti različit raspored književnih elemenata čije se značenje mijenja s obzirom na primijenjeno ograničenje. Književni izričaji mogu permutirati u motiviranostima, strukturiranosti poglavlja, pojavljivanju likova, paratekstualnim dodatcima itd.
2.7.4. Hipertekst ili narativ višestrukog izbora
Narativ višestrukog izbora ili grafička reprezentacija teksta za oulipovce predstavlja (pra)oblik hiperteksta.15 Pretpostavlja matematičke dijagrame i grafove kao polazne točke za pisanje, ali i čitanje teksta (Mathews i Brotchie, 2005, 154). To je ograničenje najinteraktivnije jer podrazumijeva čitateljev izbor nastavka teksta. Prvi ga je Oulipou predstavio Le Lionnais 1979. napravivši shemu za detektivski roman u kojemu se čitatelja pita kakvu priču preferira i s obzirom na čitateljev afinitet dopušta mu da ga shema upućuje na određenu stranicu (isto, 198-199).
U okviru modela hiperteksta pojavljuje se ponekad sustav grananja kao princip koji nadopunjuje oulipovski narativ višestukog izbora te podrazumijeva grananje ili račvanje priče. Jedan od sustava račvanja 1989. predstavio je Jacques Roubaud razvijajući radikalni eksperimentalni roman o procesu pisanja koji se razvija račvanjem kroz – drvo fikcije, a koristi hiperfikcionalne tekstove (Mason, 2007, XXV). Hiperfikcionalnim tekstovima16 ili hiperfikciji, navodi Mason, prethodili su raniji višestruki narativi kao što su Cooverov Pricksongs and Descants, Roubaudov Le grand incendie de Londres i Pavićev Hazarski rečnik17 (isto, 150). Hiperfikcija se može smatrati proširenjem permutacijskih oblika kombinatoričke književnosti, a često koristi samorefleksiju o vlastitom mediju (isto, 150). Dakle, promatrajući oulipovske tekstove u kontekstu hiperfikcije, bez obzira na terminologiju, razvidno je da oulipovska djela sadrže permutacijske oblike.18
3. Poetičke srodnosti romana Jasne Horvat i skupine Oulipo
3.1. Netipični postmoderni narativi
Književna praksa koja bi se mogla odrediti kao oulipovska nije specifična samo za frankofonijsku književnost (usp. Baetens, 2005). Na to upućuju i nefrancuski članovi skupine, ali i mnogobrojni tekstovi koji su nastali izravnim utjecajem oulipovske prakse. Romani Az (2009), Bizarij (2009), Auron (2011) i Vilikon (2012) autorice Horvat mogu se definirati i oulipovskim kontekstom književnoga stvaralaštva. Naime, uzme li se u obzir naglašena konceptualizacija ovih romana, moguće je govoriti o romanima nastalim uz korištenje ograničenja. Riječ je o svjesnom korištenju različitih pravila, metoda, postupaka ili struktura preuzetih iz znanosti. Roman Az kao primarno ograničenje koristi sustav glagoljske azbuke. U romanu Bizarij ograničenje je jezični sustav hrvatskoga jezika, odnosno gramatički vezničkih kôd. Dakle, oba su romana ograničena jezičnim i grafijskim sustavom hrvatskoga jezika. Nadalje, struktura romana Auron prati zlatnorezovski odnos temeljen na Fibonaccijevu nizu kao ograničenju, dok je Vilikon strukturiran prema modelskom ograničenju magičnog kvadrata broja 12. Time su oba romana temeljena na ograničenjima koja su matematički fenomeni.
Nužno je napomenuti kako dosadašnji opus autorice upućuje na oulipovski model, iako ni jedan roman ne eksplicira poznavanje skupine. Pojedina ograničenja nisu poznata ili priznata u oulipovskom krugu, no na više razina funkcioniraju kao takva. Oulipovska praksa, naime, nije zabilježila tekst nastao principom ograničenja koje proizlazi iz glagoljice,19 pa je Az potvrda i tog specifičnog ograničenja. Slično je i s romanom Bizarij koji prati gramatički veznički kôd hrvatskoga jezika, pri čemu također do sada nije zabilježeno u oulipovskoj literaturi takvo korištenje jezičnog sustava kao ograničenja, iako su sintaktičke strukture ograničenja česte. Time Az i Bizarij anticipiraju nova ograničenja kojima je moguće konstruirati književni tekst. Što se tiče romana Auron koji prati Fibonaccijev niz, njega je ponajprije moguće gledati kao korištenje ograničenja koje je već poznato u oulipovskoj praksi20 (usp. Mathews i Brotchie, 2005, 151). Roman Vilikon kao tzv. ograničenje ima magični kvadrat broja 12 te je također primjer originalnog autorskog modela. Bez obzira pojavljuju li se ograničenja koja koristi Horvat u oulipovskoj literaturi ili ne, navedeni romani predstavljaju artificijelna modelska ograničenja na tragu oulipovske prakse, posebno Fibonaccijev niz i magični kvadrat koji su matematički fenomeni.
Romani ove autorice, međutim, osim inovativne primjene ograničenja, zanimljivi su i drugim svojim dimenzijama u kojima se odražavaju neke tipične postmodernističke tehnike pisanja, dok, s druge strane, na tematsko-motivskoj razini iskazuju otklon od uobičajenih postmodernističkih narativa.21 Odnosno, ostanemo li kod oulipovske vizure, nije riječ ni o modernim ni o postmodernim diskursima, već o onima koji crpe elemente iz književne i kulturne tradicije, ali im pristupaju eksperimentalno, svjesno provocirajući književni kanon.
3.2. Ikonička dimenzija
Za četiri romana – Az, Bizarij, Auron i Vilikon – presudna je kompozicijsko-strukturalna razina koja je osmišljena konceptualno. Konceptualizacija u umjetničkom iskazu prije svega pridonosi prezentaciji koncepata i teorijskih predodžbi s ciljem unošenja poremećaja u uobičajene konvencije stvaranja, prezentiranja, recepcije i potrošnje umjetnosti (usp. Šuvaković 2005, 309). Sva četiri romana potvrđuju ovakav pristup, no za razliku od uobičajenih primjera romanesknog konceptualizma, u njima nalazimo nov pristup konceptualizaciji romaneskne forme, osobito u hrvatskoj književnosti. Riječ je, naime, o romanima gdje su oblikovni i semantički vid konceptualizacije maksimalno upućeni jedan na drugi na način da i proizlaze jedan iz drugoga – forma romana predodređena je sadržajem, a sadržaj formom, pri čemu oboje upućuje na isto. Sva četiri romana oblikovnom razinom diskurzivno opredmećuju svoju glavnu temu te tako postaju vlastiti znak.
U Azu je matrica za konceptualizaciju generirana iz brojevne, slovne i simboličke razine glagoljskih znakova. Koncept uključuje višedijelnu strukturu romana, unutarnju fragmentarnost svakog dijela, ali i pojedinog poglavlja. Rezultat je konceptualna mreža u kojoj pojedino poglavlje, lik ili situacija ima specifično mjesto, određeno semantikom glagoljskog znakovnog sustava (usp. Kos-Lajtman, 2011). U Bizariju je konceptualno ustrojstvo utemeljeno na jezičnom sustavu hrvatskoga jezika, tj. na sustavu zavisnih i nezavisnih veznika. Veznički ustroj determinira strukturu romana u smislu razdiobe na poglavlja-priče, ali i tip veze što je svaki od 15 glavnih protagonista prezentira osobnom upućenošću gradu Osijeku, koji je zajednički prostor zbivanja i tematski okvir svih priča. Osim jezičnoga sustava hrvatskoga jezika, konceptualizacija teksta vidljiva je i kroz fantazmagoričnost te simetriju u strukturi protagonista i poglavlja-priča (usp. Buljubašić, 2013). Koncept za ustrojstvo Aurona jest omjer zlatnog reza, poznat kao ‘idealna’ proporcija između cjeline i njezinih dijelova, koji je krovna tematika romana ali i njegov kompozicijsko-narativni ustroj. Omjer svih poglavlja koncipiranih u dva glavna dijela, veći i manji, određen je ‘zlatnorezovskim’ odnosom, a slijed poglavlja slijedi matricu Fibonaccijeva niza. Konceptualizacija pri tome zahvaća i raspodjelu pripovjedača i fokalizatora na način da su njihovi odnosi, ali i njihov broj, određeni Fibonaccijevim nizom. To pak dovodi do toga da roman svojom strukturom oblikuje Fibonaccijev niz, odnosno, princip zlatnoga reza, postajući tako model vlastite teme. U Vilikonu model za konceptualizaciju predstavlja tzv. magični kvadrat broja 12. U magičnom kvadratu broja 12 zbroj svih polja, vodoravnih, okomitih i dijagonalnih, iznosi 12, a Vilikon je strukturiran na način da su poglavlja romana sukladna matrici polja toga kvadrata. Također, pojedine narativne jedinice unutar svakoga polja, ispunjene nefikcionalnim tipom teksta koji problematizira tematiku vila u folkloristici, usklađene su s koncepcijom navedenog kvadrata.
Tip romaneskne konceptualizacije kakav zatječemo u navedenim romanima može se imenovati ikoničkom konceptualizacijom22 iz razloga jer svaki od navedenih narativa funkcionira kao specifičan semiotički sustav ikoničkog tipa. Promatramo li cijeli tekst kao znak, vidljivo je da on u tom slučaju funkcionira kao znak za ono što sam tematizira. Slično je i u oulipovskim narativima u kojima se često korištenjem ograničenja sintaktičke razine ulazi i u semantičku razinu teksta pa te dvije razine bivaju isprepletene, no nisu zabilježena djela koja upućuju na ikoničku konceptualizaciju. Romani-koncepti autorice Horvat prepoznaju se kao književni semiotički sustavi koji imaju sve odlike ikoničkih znakova u tročlanoj Peirceovoj podjeli – onih koji, temeljem određenih značajki, sliče predmetu što ga prikazuju. Svojstva ikone nalikuju svojstvima predmeta i rezultiraju analognim predodžbama (Biti, 2000, 205). Ikoničnost kao mjeru sličnosti znaka s predmetom ističe i Morris (1946), ali i mnogi drugi semiotičari. Tako Nöth, primjerice, sagledava karakter njihove veze kao motiviranost, odnosno analogiju (usp. Bagić, 2012). Konceptualne forme romana o kojima govorimo prezentiraju svojevrsnu simbiozu označitelja i označenog – tekst postaje ikona predmeta koji tematizira (glagoljski sustav znakova; veznički sustav hrvatskoga jezika; princip zlatnoga reza; magični kvadrat broja 12).
3.3. Az
Roman Az prvi je u nizu romana na kojima se mogu oprimjeriti neka oulipovska ograničenja i prakse. Ranije je naznačeno da je riječ o ustroju glagoljskog pisma po poglavljima kojega prati fabularni niz. Glagoljica je u tom slučaju korištena kao ograničenje kojim se fragmentarizira naracija, no i omogućavaju kratke epizode koje mogu različito korespondirati s historiografijom i historiografskim izvorima korištenima pri obradi priče. Glagoljica svojom trostrukturiranošću – slovnom, numeričkom i simboličkom – omogućava različite permutacije, ponajprije svojom leksičkom, a zatim i likovnom razinom. S obzirom na mogućnost pojavljivanja glagoljskih znakova i njihove simbolike, u romanu se pojavljuju mnogobrojne permutacije. Riječ je o formalnom ograničenju, koje se preklapa, povezuje s onim na semantičkoj razini, a numeričko-simboličke permutacije, prema Kos-Lajtman (2011), u romanu se javljaju na više načina.
Tablica 2. Numeričko-simboličke permutacije u romanu Az
|
a) uvodnim citatom |
|
|
b) permutiranjem jednog ili više lajtmotiva u sklopu poglavlja u kojima se očituje osnovno ili simboličko značenje glagoljskog slova |
|
|
a) permutiranjem jednog ili više lajtmotiva u sklopu poglavlja u kojima se očituje osnovno ili simboličko značenje slova nekog drugog pisma |
|
|
b) permutiranjem jednog ili više lajtmotiva u sklopu poglavlja u kojima se očituje osnovno ili simboličko značenje broja |
|
|
c) interpolacijom znanstvenog, filozofskog ili religijskog diskursa u književni tekst čime se eksplicitno tumači brojevna simbolika |
|
|
d) interpolacijom grafičko-shematskih prikaza vezanih uz igrivu potentnost slova ili riječi (primjer s riječju abrakadabra) |
|
|
e) interpolacijom matematičkog izračuna kojim se ukazuje na aritmetičko-simboličke mogućnosti broja (primjer gdje su sve desetice izražena s četiri četvorke) |
|
|
f) interpolacijom shematskih prikaza vezanih uz izvedbu glagoljskih znakova i primjenu matrice igre Mlin (primjer sa shemama iz znanstvenog rada Frana Pare: Četiri glasnika radosne vijesti Konstantina Filozofa) |
|
|
g) upisivanjem značenja koje proizlazi iz analogije s oblikom glagoljskog znaka (primjer sa znakom c-ci i oblikom udice) |
|
|
a) uvodnim citatom |
|
|
b) permutiranjem jednog ili više lajtmotiva u sklopu poglavlja u kojima se očituje osnovno ili simboličko značenje glagoljskog slova |
|
|
a) permutiranjem jednog ili više lajtmotiva u sklopu poglavlja u kojima se očituje osnovno ili simboličko značenje slova nekog drugog pisma |
|
|
b) permutiranjem jednog ili više lajtmotiva u sklopu poglavlja u kojima se očituje osnovno ili simboličko značenje broja |
|
|
c) interpolacijom znanstvenog, filozofskog ili religijskog diskursa u književni tekst čime se eksplicitno tumači brojevna simbolika |
|
|
d) interpolacijom grafičko-shematskih prikaza vezanih uz igrivu potentnost slova ili riječi (primjer s riječju abrakadabra) |
|
|
e) interpolacijom matematičkog izračuna kojim se ukazuje na aritmetičko-simboličke mogućnosti broja (primjer gdje su sve desetice izražena s četiri četvorke) |
|
|
f) interpolacijom shematskih prikaza vezanih uz izvedbu glagoljskih znakova i primjenu matrice igre Mlin (primjer sa shemama iz znanstvenog rada Frana Pare: Četiri glasnika radosne vijesti Konstantina Filozofa) |
|
|
g) upisivanjem značenja koje proizlazi iz analogije s oblikom glagoljskog znaka (primjer sa znakom c-ci i oblikom udice) |
|
Osim permutacija, u romanu Az nalaze se i palindromske strukture. Riječ je ponajprije o shematskom prikazu palindromske strukture riječi abrakadabra koju je moguće čitati po stupcima, samo prvi stupac ili s desnog ruba upisane piramide.
Slika 1. Palindromska riječ abrakadabra kao narativni element u romanu Az
ABRAKADABRA
ABRAKADABR
ABRAKADAB
ABRAKADA
ABRAKAD
ABRAKA
ABRAK
ABRA
ABR
AB
A
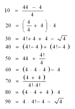
Također, interpolira se i matematički izračun kojim se desetice mogu prikazati kao derivacija četvorki.
Slika 2. Matematički izračun kao palindromska struktura u romanu Az
Dakako, palindromska struktura poput riječi abrakadabra nužno za sobom povlači i pitanje lipogramske prakse. Abrakadabra je riječ koja je monovokalna jer je ispisana samo jednim samoglasnikom, ali je ona i lipogramska jer izuzima sva slova hrvatske abecede osim samoglasnika a te suglasnika b, d, k i r. Uzme li se u obzir da je lipogram jedno od ograničenja oulipovske prakse, i tu se pronalazi relacija s oulipovskom praksom.
3.4. Bizarij
Roman Bizarij konceptualno je izgrađen na sintaktičnoj strukturi vezničkih rečenica hrvatskoga jezika. Uz oulipovsku se praksu veže jer oulipovci traže načine kako u proznim tekstovima spojiti fiksne sintaktičke strukture, a omogućiti promjenjiv vokabular (Braffort 1981, 306). Dakle, u Bizariju se sintaktički kôd koristi kao ograničenje kojim se naglašava permutacijska mogućnost jezičnog vokabulara i mogućnost sastavljanja priče. S obzirom na to da hrvatska sintaksa poznaje dvije vrste složenih rečenica, zavisne i nezavisne, roman je sastavljen od dvije cjeline - Zavisne veze, čija su poglavlja naslovljena zavisnim vezničkim rečenicama, i Nezavisne veze, čija su poglavlja naslovljena nezavisnosloženim rečenicama. Poglavlja su podijeljena na ulomke od kojih svaki počinje pripadajućim veznikom ili vezničkim skupom nadređene veze naslovljene u poglavlju. Sintaktička se razina teksta po poglavljima i početnim rečenicama ulomaka u poglavljima upisuje i na semantičku razinu teksta.23 Sljedeća tablica prikaz je poglavlja, vrsta rečenica, veznika i vezničkih skupova kojemu pripadaju te njihovog sintaktičkog upisivanja u semantiku teksta.
Tablica 3. Korelacija sintaktičke i semantičke dimenzije poglavlja u Bizariju
|
Poglavlje |
Vrsta rečenice u hrvatskom jeziku |
Veznici i veznički skupovi |
Semantička razina teksta |
|
Vremenske veze Isabelle von Habsburg |
Zavisne – vremenske rečenice |
Kada, otkako, jedva, dok, dokle, netom kako čim, otkada, tek, pošto, prije, istom, nakon što. |
Isabella vrijeme prevladava fantazmagorijom, hvata trenutke fotografiranjem. |
|
Pogodbene veze Ivana Koroga |
Zavisne – pogodbene rečenice |
Ako, kada, da, je li. |
Ivan se pogađa s Bogom kao i s ljudima s različitim namjerama. |
|
Uzročne veze Antuna Berharda |
Zavisne – uzročne rečenice |
Jer, kada, kako, što je bilo – bilo je |
Antun traži uzroke događajima i okrivljava žene-vještica za iste. |
|
Dopusne veze plesačice Sulejmane |
Zavisne – dopusne rečenice |
Iako, mada, premda, makar, ako i, neka. |
Plesačica Sulejmana ništa nije smjela bez dopuštenja pa čak ni plesati. |
|
Načinske veze Adolfa Waldingera |
Zavisne – načinske rečenice |
Kako, kao što, kao da, kako god. |
Waldinger slika načinom između Leonarda i Dürhera. |
|
Namjerne veze Sulejmana Veličanstvenog |
Zavisne – namjerne rečenice |
Da, eda, kako, neka. |
Sulejman namjerava doći do Beča preko Drave kako bi izbjegao široki Dunav. |
|
Posljedične veze Adele Deszathy |
Zavisne – posljedične rečenice |
Da, tako da. |
Adela ljude gleda kao posljedice kemijske valentnosti, a time i njihova vezanja. |
|
Izrične veze cara Konstancija II. |
Zavisne subjektne – izrične rečenice |
Da, kako, gdje. |
Konstancije II. izrekao je naredbu kojom je otpočela bitka kod Murse. |
|
Odnosne veze gospođe Gosseau de Heneff |
Zavisne subjektne – odnosne rečenice |
Koji, kamo, tko, kuda, odakle, čiji, što, kakav, gdje, dokle. |
Gospođa Gosseau de Heneff sve odnose s drugima ostvaruje preko supruga. |
|
Sastavne veze Marije Pejačević |
Nezavisne – sastavne rečenice |
I, pa, te, ni, niti. |
Mariju muče sastavnice života supruga, odnosno njegove bivše žene, te se pita koja je sastavnica po redu ona. |
|
Rastavne veze Pauline Hermann |
Nezavisne – rastavne rečenice |
Ili, ili – ili, bilo – bilo. |
Paulina se rastajanje od supruga, ali i od konvencionalnog načina života. |
|
Suprotne veze kuće Lekićâ |
Nezavisne – suprotne rečenice |
A, ali, nego, no, već. |
Kuća Lekićâ djelo je različitih graditelja kroz čiju se suprotnost (kao i svojih vlasnika) ostvarila kao jedinstvena građevina. |
|
Zaključne veze sestrične princa Eugena od Savoje i Pijemonta |
Nezavisne – zaključne rečenice |
Dakle, stoga, zato. |
Eugenova sestrična, nakazna i ružna, promišlja o svijetu kroz perspektivu svoje zaključene, tužne, sudbine. |
|
Isključne veze Nikole Zrinskoga |
Nezavisne – isključne rečenice |
Samo što, tek što. |
Nikola isključuje mogućnost Sulejamonova dolaska do Beča. |
|
Gradacijske veze Vladimira Lendića Ranka |
Nezavisne – gradacijske rečenice |
A kamoli, pa i, pa čak i. |
Vladimir vidi ostatke života svih likova i gradira ih prema različitim kriterijima. |
|
Poglavlje |
Vremenske veze Isabelle von Habsburg |
|---|---|
Vrsta rečenice u hrvatskom jeziku |
Zavisne – vremenske rečenice |
|
Veznici i veznički skupovi |
Kada, otkako, jedva, dok, dokle, netom kako čim, otkada, tek, pošto, prije, istom, nakon što. |
Semantička razina teksta |
Isabella vrijeme prevladava fantazmagorijom, hvata trenutke fotografiranjem. |
Poglavlje |
Pogodbene veze Ivana Koroga |
Vrsta rečenice u hrvatskom jeziku |
Zavisne – pogodbene rečenice |
Veznici i veznički skupovi |
Ako, kada, da, je li. |
Semantička razina teksta |
Ivan se pogađa s Bogom kao i s ljudima s različitim namjerama. |
| Poglavlje |
Uzročne veze Antuna Berharda |
Vrsta rečenice u hrvatskom jeziku |
Zavisne – uzročne rečenice |
Veznici i veznički skupovi |
Jer, kada, kako, što je bilo – bilo je |
Semantička razina teksta |
Antun traži uzroke događajima i okrivljava žene-vještice za iste. |
| Poglavlje |
Dopusne veze plesačice Sulejmane |
Vrsta rečenice u hrvatskom jeziku |
Zavisne – dopusne rečenice |
Veznici i veznički skupovi |
Iako, mada, premda, makar, ako i, neka. |
Semantička razina teksta |
Plesačica Sulejmana ništa nije smjela bez dopuštenja pa čak ni plesati. |
| Poglavlje |
Načinske veze Adolfa Waldingera |
Vrsta rečenice u hrvatskom jeziku |
Zavisne – načinske rečenice |
Veznici i veznički skupovi |
Kako, kao što, kao da, kako god. |
Semantička razina teksta |
Waldinger slika načinom između Leonarda i Dürrera. |
| Poglavlje |
Namjerne veze Sulejmana Veličanstvenog |
Vrsta rečenice u hrvatskom jeziku |
Zavisne – namjerne rečenice |
Veznici i veznički skupovi |
Da, eda, kako, neka. |
Semantička razina teksta |
Sulejman namjerava doći do Beča preko Drave kako bi izbjegao široki Dunav. |
| Poglavlje |
Posljedične veze Adele Deszathy |
Vrsta rečenice u hrvatskom jeziku |
Zavisne – posljedične rečenice |
Veznici i veznički skupovi |
Da, tako da. |
Semantička razina teksta |
Adela ljude gleda kao posljedice kemijske valentnosti, a time i njihova vezanja. |
| Poglavlje |
Izrične veze cara Konstancija II. |
Vrsta rečenice u hrvatskom jeziku |
Zavisne subjektne – izrične rečenice |
Veznici i veznički skupovi |
Da, kako, gdje. |
Semantička razina teksta |
Konstancije II. izrekao je naredbu kojom je otpočela bitka kod Murse. |
| Poglavlje |
Odnosne veze gospođe Gosseau de Heneff |
Vrsta rečenice u hrvatskom jeziku |
Zavisne subjektne – odnosne rečenice |
Veznici i veznički skupovi |
Koji, kamo, tko, kuda, odakle, čiji, što, kakav, gdje, dokle. |
Semantička razina teksta |
Gospođa Gosseau de Heneff sve odnose s drugima ostvaruje preko supruga. |
| Poglavlje |
Sastavne veze Marije Pejačević |
Vrsta rečenice u hrvatskom jeziku |
Nezavisne – sastavne rečenice |
Veznici i veznički skupovi |
I, pa, te, ni, niti. |
Semantička razina teksta |
Mariju muče sastavnice života supruga, odnosno njegove bivše žene, te se pita koja je sastavnica po redu ona. |
| Poglavlje |
Rastavne veze Pauline Hermann |
Vrsta rečenice u hrvatskom jeziku |
Nezavisne – rastavne rečenice |
Veznici i veznički skupovi |
Ili, ili – ili, bilo – bilo. |
Semantička razina teksta |
Paulina se rastaje od supruga, ali i od konvencionalnog načina života. |
| Poglavlje |
Suprotne veze kuće Lekićâ |
Vrsta rečenice u hrvatskom jeziku |
Nezavisne – suprotne rečenice |
Veznici i veznički skupovi |
A, ali, nego, no, već. |
Semantička razina teksta |
Kuća Lekićâ djelo je različitih graditelja kroz čiju se suprotnost (kao i svojih vlasnika) ostvarila kao jedinstvena građevina. |
| Poglavlje |
Zaključne veze sestrične princa Eugena od Savoje i Pijemonta |
Vrsta rečenice u hrvatskom jeziku |
Nezavisne – zaključne rečenice |
Veznici i veznički skupovi |
Dakle, stoga, zato. |
Semantička razina teksta |
Eugenova sestrična, nakazna i ružna, promišlja o svijetu kroz perspektivu svoje zaključene, tužne, sudbine. |
| Poglavlje |
Isključne veze Nikole Zrinskoga |
Vrsta rečenice u hrvatskom jeziku |
Nezavisne – isključne rečenice |
Veznici i veznički skupovi |
Samo što, tek što. |
Semantička razina teksta |
Nikola isključuje mogućnost Sulejamanova dolaska do Beča. |
| Poglavlje |
Gradacijske veze Vladimira Lendića Ranka |
Vrsta rečenice u hrvatskom jeziku |
Nezavisne – gradacijske rečenice |
Veznici i veznički skupovi |
A kamoli, pa i, pa čak i. |
Semantička razina teksta |
Vladimir vidi ostatke života svih likova i gradira ih prema različitim kriterijima. |
U Bizariju su i neke rijetke palindromske strukture. To su piramidalni matematički izračuni kojima su sume s lijeve i desne strane jednake, kao u sljedećim primjerima.
Slika 3. Matematički izračuni kao palindromske strukture u romanu Bizarij
Palindromskim računicama upućuju na simetriju, važno obilježje konceptualizacije romana. Boisvert ističe da upravo palindromi uvode simetriju u tekst (Boisvert, 2006, prema Bagić, 2012, 223). Simetrija se ne pojavljuje samo na razini poglavlja i raspodjele likova (7+7+1)24, kao i na razini matematičkih računica, već je i dijelom grafičke strukture pjesničkoga teksta koji je inkorporiran u poglavlje Rastavne veze Pauline Hermann.
Slika 4. Simetrija u grafičkoj strukturi pjesničkog interteksta u Bizariju

3.5. Auron
Roman Auron posebno je zanimljivo čitati u kontekstu oulipovskog pristupa jer je riječ o tekstu koji prati strukturu Fibonaccijeva niza. Taj matematički niz dokaz je o postajanju zlatnoga reza, odnosno zlatnorezovske spirale koja je dijelom različitih prirodnih fenomena.25 Auron je tzv. zlatni pravokutnik kojemu stranice stoje u zlatnom omjeru (Φ), jedinom koji ljudsko oko percipira savršenim (Pejaković, 2000). Poglavlja su romana raspoređena u dvije cjeline: do poglavlja Pupak i od Pupka, pri čemu je Pupak moguće shvatiti kao prijelomno narativno-oblikovno mjesto, tj. kao pupak teksta. Dio prije Pupka čine poglavlja Trinaest i Osam u kojima se nalazi po trinaest, odnosno osam likova/pripovjedača. Drugoj cjelini pripadaju poglavlja Pet, Tri, Dva, Jedan, Jedan. Tablica 4. prikaz je tekstualnih cjelina te poglavlja romana s pripadajućim likovima, odnosno, pripovjedačima.
Tablica 4. Cjeline, poglavlja, potpoglavlja i likovi/pripovjedači u Auronu
|
Cjeline |
Poglavlja prema Fibonac. nizu |
Potpoglavlje |
Lik/pripovjedač |
|
Do Pupka |
Trinaest |
(1) Trbuh kao forma |
Lik Marko Leko |
|
(2) Usporedba |
Lik Jelena-Žizel |
||
|
(3) Nema me |
Lik Nevena |
||
|
(4) Spirala |
Lik/pripovjedač Auron |
||
|
(5) Zvrk |
Lik Stana Katić |
||
|
(6) Upute |
Lik Frano |
||
|
(7) Ljestvica |
Lik/pripovjedač Auron |
||
|
(8) Žanr |
Lik Richard Castle |
||
|
(9) ALT 934 |
Lik/pripovjedač Auron |
||
|
(10) CV |
Lik Zdenka |
||
|
(11) Priručnik |
Lik/pripovjedač Auron |
||
|
(12) Sublimirati |
Lik Maja |
||
|
(13) Gugol |
Lik/pripovjedač Auron |
||
|
Osam |
(1) Modulor |
Lik/pripovjedač Auron |
|
|
(2) Šije-šete... bim-bom-bam |
Lik Zdenka |
||
|
(3) Bez uzora |
Lik Frano |
||
|
(4) Prethodnik |
Lik/pripovjedač Auron |
||
|
(5) Kao zec |
Lik Stana Katić |
||
|
(6) Zrno prašine |
Lik/pripovjedač Auron |
||
|
(7) Da i ne |
Jelena-Žizel |
||
|
(8) mleko@gmail.com |
Lik Marko Leko |
||
|
Od Pupka |
Pet |
(1) Agent 988 |
Lik Zoran |
|
(2) Zagor |
Lik Cvijeta |
||
|
(3) Unutarnji rez |
Lik/pripovjedač Auron |
||
|
(4) Gospodin Fulir |
Lik Sunčica |
||
|
(5) Vanjski rez |
Lik/pripovjedač Auron |
||
|
Tri |
(1) Daleko(do)zirana |
Lik Ružica |
|
|
(2) Valijant |
Lik Krešimir |
||
|
(3) 52 minute |
Lik/pripovjedač Auron |
||
|
Dva |
(1) Samosličnost |
Lik/pripovjedač Auron |
|
|
(2) Dvije zjenice |
Lik Jou |
||
|
Jedan |
|
Lik Zora |
|
|
Jedan |
|
Lik tata |
|
|
|
Apsolutna nula |
|
Lik/pripovjedač Ivica B. (Auron) |
|
Cjelina |
Do Pupka |
|---|---|
Poglavlja prema Fibonac. nizu |
Trinaest |
Potpoglavlje Lik/pripovjedač |
(1) Trbuh kao forma Lik Marko Leko |
Potpoglavlje Lik/pripovjedač |
(2) Usporedba Lik Jelena-Žizel |
Potpoglavlje Lik/pripovjedač |
(3) Nema me Lik Nevena |
Potpoglavlje Lik/pripovjedač |
(4) Spirala Lik/pripovjedač Auron |
Potpoglavlje Lik/pripovjedač |
(5) Zvrk Lik Stana Katić |
Potpoglavlje Lik/pripovjedač |
(6) Upute Lik Frano |
Potpoglavlje Lik/pripovjedač |
(7) Ljestvica Lik/pripovjedač Auron |
Potpoglavlje Lik/pripovjedač |
(8) Žanr Lik Richard Castle |
Potpoglavlje Lik/pripovjedač |
(9) ALT 934 Lik/pripovjedač Auron |
Potpoglavlje Lik/pripovjedač |
(10) CV Lik Zdenka |
Potpoglavlje Lik/pripovjedač |
(11) Priručnik Lik/pripovjedač Auron |
Potpoglavlje Lik/pripovjedač |
(12) Sublimirati Lik Maja |
Potpoglavlje Lik/pripovjedač |
(13) Gugol Lik/pripovjedač Auron |
Poglavlja prema Fibonac. nizu |
Osam |
Potpoglavlje Lik/pripovjedač |
(1) Modulor Lik/pripovjedač Auron |
Potpoglavlje Lik/pripovjedač |
(2) Šije-šete... bim-bom-bam Lik Zdenka |
Potpoglavlje Lik/pripovjedač |
(3) Bez uzora Lik Frano |
Potpoglavlje Lik/pripovjedač |
(4) Prethodnik Lik/pripovjedač Auron |
Potpoglavlje Lik/pripovjedač |
(5) Kao zec Lik Stana Katić |
Potpoglavlje Lik/pripovjedač |
(6) Zrno prašine Lik/pripovjedač Auron |
Potpoglavlje Lik/pripovjedač |
(7) Da i ne Jelena-Žizel |
Potpoglavlje Lik/pripovjedač |
(8) mleko@gmail.com Lik Marko Leko |
| Cjelina |
Od Pupka |
Poglavlja prema Fibonac. nizu |
Pet |
Potpoglavlje Lik/pripovjedač |
(1) Agent 988 Lik Zoran |
Potpoglavlje Lik/pripovjedač |
(2) Zagor Lik Cvijeta |
Potpoglavlje Lik/pripovjedač |
(3) Unutarnji rez Lik/pripovjedač Auron |
Potpoglavlje Lik/pripovjedač |
(4) Gospodin Fulir Lik Sunčica |
Potpoglavlje Lik/pripovjedač |
(5) Vanjski rez Lik/pripovjedač Auron |
Poglavlja prema Fibonac. nizu |
Tri |
Potpoglavlje Lik/pripovjedač |
(1) Daleko(do)zirana Lik Ružica |
Potpoglavlje Lik/pripovjedač |
(2) Valijant Lik Krešimir |
Potpoglavlje Lik/pripovjedač |
(3) 52 minute Lik/pripovjedač Auron |
Poglavlja prema Fibonac. nizu |
Dva |
Potpoglavlje Lik/pripovjedač |
(1) Samosličnost Lik/pripovjedač Auron |
Potpoglavlje Lik/pripovjedač |
(2) Dvije zjenice Lik Jou |
Poglavlja prema Fibonac. nizu |
Jedan |
|
Lik Zora |
|
Jedan |
Lik tata |
|
Poglavlja prema Fibonac. nizu |
Apsolutna nula |
Lik/pripovjedač Ivica B. (Auron) |
Roman završava izgovaranjem broja fi (Φ) od strane Auronove majke, beskonačnim brojem koji pripada rezultatu dijelenja omjera Fibonaccijeva niza. Takvim završetkom implicira se beskonačnost trajanja, ali i mnogo načina čitanja strukture romana koja jest temeljena na navedenom nizu. Naime, roman se može čitati i od početka prema kraju, ali i od kraja prema početku, pri čemu takvo čitanje podrazumijeva palindromski odnos. Također, moguće je pretpostaviti i dodatne načine čitanja koje potenciraju aktivne rubnice na svakoj stranici što djeluju poput hiperpoveznica – jer vode do svog objašnjenja. U slučaju Aurona riječ je, dakle, o posebnom tipu hiperteksta, možda najbližem tipu interaktivnog računalnog hiperteksta.
3.6. Vilikon
Vilikon strukturom prati magični kvadrat broja 12 koji je zanimljiv ne samo kao matematički fenomen nego i stoga što svaki magični kvadrat ima palindromsku stukturu. Koncept teksta prema poljima kvadrata omogućuje više smjerova i načina čitanja.26

Bez obzira na načine čitanja koje nudi palindromska struktura kvadrata, broj priča unutar polja može permutirati čime se umnožavaju načini čitanja. Priče raspoređene po poljima kvadrata zapravo su lemske natuknice o vilama predočene kroz znanstvenu, stručnu ili popularno-stručnu folklorističku perspektivu. S obzirom da svaki narativni fragment o vilama tematizira obrađeno obilježje vila, tekst predstavlja i svojevrsnu hibridnu, književno-leksikonsku, odnosno lemsku prozu (Kos-Lajtman i Horvat, 2012). Kriterij raspoređivanja, formalno ograničenje, pri tome je kvadrat sa svojim poljima, odnosno, broj jedinica svakog kvadratnoga polja. Primjerice, prvo je polje broja 3 te su stoga u njega upisane tri lemske jedinice, odnosno tri vilinska obilježja. Drugo u nizu je polje broj 2 u kojemu su upisane dvije lemske jedinice, odnosno dva vilinska obilježja. Palindromska struktura ne odnosi se pri tome samo na lemski dio romana o vilama već i na roman u cijelosti. Uzme li se, dakle, cijeli roman u obzir, tu se također umnožavaju načini čitanja i dolazi do posebnog hipertekstualnog vida čitanja kojemu je kriterij čitanje po zadanim pojmovima.
4. Zaključak
Iako romaneskni opus suvremene hrvatske književnice Jasne Horvat na autoreferencijalnoj razini eksplicitno ne svjedoči o vezi sa skupinom Oulipo osnovanom 1960. godine, poznavanjem teorijskih i praktičnih polazišta ove specifične književnoteorijske misli (koja na određen način traje i danas) te analizom četiriju romana navedene autorice, ta je veze i više nego evidentna. Riječ je o konceptualnim romanima specifične ikoničke funkcionalnosti čija poetika ne odaje samo čvrsto osmišljene sintaktičke strukture koje su redovito u najužoj vezi s njihovom semantičkom strukturom – prezentirajući roman kao ikonički znak – već i o izravnoj primjeni upravo onih principa, tzv. ograničenja, koja su prakticirali i pripadnici skupine Oulipo. Svaki od četiriju romana – Az, Bizarij, Auron i Vilikon – primjenjuje neke (najčešće više njih) matematičke principe koje su upravo oulipovci smatrali (i još uvijek smatraju) provokativnima te ih testiraju na svojim radionicama. Riječ je o permutacijama i palindromima kao najčešćem tipu ograničenja, no isto tako u navedenim romanima naći ćemo principe hiperteksta, tj. narative višestrukog izbora, kao i iskorištavanje strukturalno-kompozicijskih i semantičkih mogućnosti koje proizlaze iz polivalentnosti tzv. magičnih kvadrata. Također, ne manje važna jest i činjenica da se autorica kao drugom svom idejnom generatoru, odmah nakon matematike, okreće jeziku i njegovim principima – slovnom, tj. znakovnom sustavu u Azu, gramatičkom (vezničkom) sustavu u Bizariju, leksikografskim tehnikama u Vilikonu, romanu-leksikonu. Upravo to je slučaj i s oulipovcima, koji jezik, uz matematiku, vide najpotentnijom i najintrigantnijom provokacijom za književni tekst. Matematički i jezični fenomeni izvor su svjesno osmišljenih kodova za funkcioniranje književnog iskaza, izazovi bez kojih književnost praktički ne može. Iako u kronološkom smislu autorica Horvat, i sama znanstvenica (statističarka), više pripada dobu postoulipovskih nego oulipovskih tendencija – osobito uzmemo li u obzir činjenicu da neki od najpoznatijih oulipovaca više ne žive i ne stvaraju – pokazuje se da su njezini recentni narativi u ključnom smislu oulipovski. Takav uvid ima smisla već i zbog toga jer pokazuje suštinsku kompatibilnost sa stavovima skupine Oulipo koja nipošto oulipovske tekstove nije vremenski ograničila niti ih predodredila samo za svoje formalne članove. Također, ukazivanje na navedenu poetičku srodnost ima smisla i zbog toga jer je riječ o artificijelnim, vrlo osebujnim tekstovima koji tek traže detaljnije analize šire (znanstvene) javnosti, ali i zbog toga jer je oulipovski pristup književnom stvaranju u hrvatskoj znanosti generalno slabo poznat, dok bi specifičnost i intrigantnost njegove teorije i prakse zahtijevala upravo suprotno.
Literatura
- Atlas de littérature potentielle (1981). Paris: Gallimard.
- Baetens, J. (2005); Romans à contraintes. Amsterdam/New York: Rodopi.
- Bagić, K. (2012); Rječnik stilskih figura. Zagreb: Školska knjiga.
- Bajard, P. [Bayard, P.] (2010); Anticipirani plagijat. Beograd: Službeni glasnik.
- Buljubašić, I. (2013); Recikliranje fakcije kroz fikciju: Osijek u Bizariju. U: Sanjari i znanstvenici: Zbornik radova u čast 70-godišnjice rođenja Branke Brlenić-Vujić, Marica Liović (prired.). Osijek: Sveučilište Josipa Jurja Strossmayera Filozofski fakultet (str. 707-724).
- Braffort, P. (1981); Prose et combinatoire. U: Atlas de littérature potentielle. Paris: Gallimard (str. 306-318).
- Calvino, I. (2002); Američka predavanja: šest prijedloga za sljedeće tisućljeće. Zagreb: Ceres
- Clapham, C. i J. Nicholson (2009); The Concise Oxford Dictionary of Mathematics, 4th edition. New York: Oxford University Press.
- Compagnon, A. (2007); Demon teorije. Zagreb: AGM.
- Horvat, J. (2009); Az. Zagreb: Naklada Ljevak.
- Horvat, J. (2009); Bizarij. Zagreb: Naklada Ljevak.
- Horvat, J. (2011); Auron. Zagreb: Naklada Ljevak.
- Horvat, J. (2012); Vilikon. Zagreb: Naklada Ljevak.
- Horvat, J. i J. Mijoč (2012); Osnove statistike. Zagreb: Naklada Ljevak.
- Hutcheon, L. (1988); A Poetics of Postmodernism: History, Theory, Fiction. London/New York: Routledge.
- Kos-Lajtman, A. (2011); Glagoljicom kodirana numeričko-simbolička kombinatorika u romanu Az Jasne Horvat. Nova Croatica: časopis za hrvatski jezik, književnost i kulturu, Vol. 5 No. 5. (str. 145-163).
- Kos-Lajtman, A. i J. Horvat (2012); Paradigma lemske proze. U: Approaches and Methods in Second and Foreign Language Teaching, Azmat Akbarov i Vivian Cook (ur.). Sarajevo: International Burch University (str. 21-30)
- Le Lionnais, F. (1986); Lipo: First Manifesto. U: Oulipo: A Primer Of Potential Literature, Warren F. Motte. Lincoln: University of Nebraska Press. (str. 26-28)
- Lescure, J. (2003); A Brief History of the Oulipo. U: The new media reader, ur. Noah Wardrip-Fruin, Nick Montfort. Cambridge/London: The MIT Press (str. 172-176).
- Mason, F. (2007); Historical dictionary of postmodernist literature and theater, Historical Dictionaries of Literature and the Arts, No. 16. Lanham/Toronto/Plymouth: The Scarecrow Press.
- Mathews, H. i A. Brotchie (ur.) (2005); Oulipo Compendium, revised and updated. London/Los Angeles: Atlas Press/Make Now Press.
- Motte, W. F. (1986); Oulipo: A Primer Of Potential Literature. Lincoln: University of Nebraska Press.
- Pejaković, M. (2000); Zlatni rez. Zagreb: Art studio Azinović.
- Perec, G. (1981); Quatre figures pour La Vie mode d'emploi. U: Atlas de littérature potentielle, Paris: Gallimard. (str. 387-395)
- Popović, T. (2010); Rečnik književnih termina. Beograd: Logos Art/Edicija
- Queneau, R. (1986); Potential Literature. U: Oulipo: A Primer Of Potential Literature, Warren F. Motte. Lincoln: University of Nebraska Press. (str. 51-64)
- Roubaud, J. (2005); The Oulipo and Combinatorial Art. U: Oulipo Compendium, revised and updated, ur. Harry Mathews i Alastair Brotchie. London/Los Angeles: Atlas Press/Make Now Press (str. 37-44).
- Virag, Z. (2007); Odnosi i glasovi u tranziciji. Osijek: Matica hrvatska, Ogranak.
Bilješke
1 U Demonu teorije Antoinea Compagnona prevoditeljica Morana Čale skupinu Oulipo na više mjesta, kao i Bagić (usp. Bagić, 2012, 181), objašnjava kao književnost i umjetnost pod prisliom (Compagnon, 2007, 115, 262). U ovome radu autorice se ponajprije osvrću na ograničenja pisanja, a ne prisilu već i zbog sintagmatske označnice potencijalna književnost u nazivu te u skladu s oulipovskim poimanjem ograničenja kao svojevrsne zamjene za pojam inspiracija (vidi odlomak 2.7.).
2 Uobičajeni naziv u literaturi za Oulipo jest Ouvroir de Littérature Potentielle (usp. Mathews i Brotchie, 2005, 205-206; Motte, 1986, 1). Rjeđe se nailazi na verziju L'Ouvroir de Littérature Potentielle koju upotrebljava Bagić (usp. Bagić, 2012, 181).
3 Raymond Queneau u studiji/manifestu Potential Literature objašnjava naziv Oulipo: radionica – zato što im je namjera raditi/stvarati; književnost – zato što je to pitanje književnosti; potencijalna – otkrivati, predlagati i iskušavati nove postupke u književnosti (Queneau, 1986, 51-64).
4 Ramon Llull katalonski je pisac, filozof i teolog koji je živio između 1232. i 1316. godine izložen kršćanskoj, islamskoj i židovskoj kulturi. Nakon svojega stupanja u franjevački red, počeo širiti franjevačku misao o univerzalnoj slozi evangelizacijom i reevangelizacijom. Njegova Ars Combinatoria poslužila je tom cilju i pokazala kako se može kombinirati 1680 kombinacija od 6 skupova po 9 entiteta upisanih u kružnu tabelu digniteta, ali bez ponavljanja (usp. Mathews i Brotchie, 2005, 180).
5 Štoviše, članovi skupine i nakon smrti nastavljaju biti oulipovci, a jedina mogućnost izlaska iz Oulipoa moguća je ako član počini samoubojstvo ispred dužnosnika suda kako bi se oslobodio Oulipoa (Raubaud, 2005, 38).
6 Bourbaki skupina, poznatija pod kolektivnim pseudonimom Nicolas Bourbaki, skupina je (uglavnom) francuskih matematičara koji su djelovali u 20. st. Napisali su i objavili niz knjiga pod kolektivnim pseudonimom u kojima su pokušali predstaviti modernu naprednu matematiku, onu koja se temelji na teoriji skupova. Grupa je bila tajna, no zna se da su članovi bili André Weil, Jean Dieudonné, Henri Cartan. Claude Chevalley, Jean Delsarte i Laurent Schwartz (Mathews i Brotchie, 2005, 115).
7 Françoise Le Lionnais u prvom oulipovskom manifestu piše kako upravo matematika, a posebno apstraktne strukture suvremene matematike, nude mnogobrojne pravce za istraživanje, počevši od algebre (stvaranje novih zakona kompozicije), pa sve do topologije (razmatranja sličnosti, otvaranja ili zatvaranja tekstova), a na umu treba imati i anaglifske pjesme, odnosno tekstove koji se transformiraju projekcijama (Le Lionnais, 1986, 27).
8 Kombinacije dviju domena nude sljedeće mogućnosti: književne autore koji nisu matematičari; matematičare koji nisi književni autori; one koji su prvo književni autori, a tek potom matematičari; te one koji su prije svega matematičari, a tek potom književni autori. Najveći broj članova kombinacija je književnika koji nisu matematičari i književnika koji su matematičari hobisti.
9 Primjerice, takav je Lasos iz Hermione, autor prvog lipograma, i Lewis Carroll koji je Through the Looking-Glass pisao prema igri šah koja je kasnije često korištena u oulipovskim djelima, ponajprije u Život, upute za uporabu Georgesa Pereca.
10 U literaturi se pronalaze i bliskoznačnice restriction i restrictive form, no contrainte/constraint temeljnim značenjem postavljenih formalnih ograničenja izražavaju samu bit oulipovske poetike.
11 Queneauova poema Cent Mille Milliards de Poemes (A Hundred Thousand Milliard Poems) temeljena je na permutiranju 10 soneta čiji stihovi mogu međusobno permutirati stotinu milijuna milijuna puta. To se djelo drži inauguracijskim te prvim neslužbenim manifestom jer je rasprava Queneauoa i Le Lionnaisa dovela do pitanja uloge matematičara u književnosti, a zatim i do samog stvaranja Oulipoa (usp. Mathews i Brotchie, 2005, 14).
12 Poezija je učestalo korišten književni rod te su razvijena brojna ograničenja koja vrijede samo za poeziju, npr. bananagram, beautiful of low, beautiful outlow, pangram, snow ball, N+7 ili S+7, the prisoner's restriction, tautogram itd.
13 Prvi lipogram nastao je još u 6. st. pr. Kr., a ispisao ga je Grk Lasos iz Hermione izostavivši u pjesmama grčko slovo Σ (sigmu) (isto, 180; Mathews i Brotchie, 2005, 179). Oulipovac Georges Perec najpoznatiji je autor lipogramskih tekstova te autor najdužeg lipogramskog teksta, romana Ispario, u kojemu ne upotrebljava najčešće korišten samoglasnik u francuskom jeziku, samoglasnik e. Pri tome sam roman tematizira nestanak istog čime aktivira lingvističku metatekstualnu razinu teksta, a priču oblikuje kao neklasičnu kriminalističku. Roman nudi i svoju repliku, monovokalski tekst Povratnice (Les Revenetes) u kojemu upotrebljava samo samoglasnik e (isto, 181).
14 Najstariji čarobni kvadrat, naziva se još i magični kvadrat, datira iz 79 g., a nađen je u Pompejima (isto, 222).
15 Pod pojmom hipertekst danas se prije svega misli na tip teksta koji „umesto njegovog tradicionalnog pravolinijskog čitanja nudi mogućnost mnogostrukog pristupa“ (Popović, 2010, 265), odnosno, na ono značenje kakvo mu je dao i sam autor pojma Theodor Holm Nelson – „za označavanje pisanih ili slikovnih materijala, njihove otvorene, nikada završene tekstualnosti kompleksne povezanosti“ (Virág, 2007, 47).
16 Hiperfikcionalni tekst, poznatiji i kao hipertekst fikcije, fikcionalni je nelinearni oblik pisanja koji omogućuje korištenje digitalnih tehnologija na način da tehnologija omogućava stvaranje paralelnih informacijskih tokova i generiranje više niti priče koje se preklapaju na strukturnim raskrižjima i razdvajaju zaplete (Mason, 2007, 149). Riječ je ponajprije o interaktivnim narativnim digitalnim oblicima na internetu ili na CD-ROM-ovima.
17 Jan Baetens, pišući o romanima ograničenja, navodi Hazarski rečenik kao primjer hiperteksta prema slovima (Baetens, 2005, 22). Riječ je o tekstovnom abecedariju ili lemskoj prozi (usp. Kos-Lajtman i Horvat, 2012), a ne tekstu grananja i račvanja.
18 Oulipovac Italo Calvino u Američkim predavanjima opisuje model mreže kao noseću strukturu romana u kojem je moguće predočiti akumulativnu, modularnu, kombinatoričku strukturu (Calvino, 2002, 133). Takav model romana-mreže naziva hiper-romanima i oprimjeruje ga svojim romanom Ako jedne zimske noću neki putnik (1978). Načelo istog uzorka potencijalne mnogostrukosti pripovjedne osnovice nalazi se i u njegovom Dvorcu ukrštenih sudbina (1968). Hiper-romanom naziva i Perecov Život, upute za uporabu (1978), najpoznatije oulipovsko djelo. Calvino ga naziva posljednjim istinskim događajem u povijesti romana (isto, 133).
19 Ne uključujući latinicu na kojoj su svi oulipovci pisali i često primjenjivali abecedarije ili druga slična ograničenja koja podrazumijevaju kriterije poretka abecede (primjerice, u Alfabetical Africa).
20 Iako je riječ samo o pjesničkim pokušajima strukturiranja i praćenja Fibonaccijeva niza, Fibonaccijev niz često se spominje u oulipovskim teorijskim raspravama.
21 Naime, riječ je o romanima (posebice to vrijedi za one povijesne tematike), koji izostavljaju apsolutno relativiziranje ili parodiranje povijesti kao jedno od ključnih mjesta postmodernističke poetike (Hutcheon, 1988), zbog čega se o njima, ostavimo li po strani oulipovsku poetiku i postavke kojima se njezini autori ograđuju od stilova ili epoha, može govoriti kao o post-postmodernim narativima (usp. Kos-Lajtman, 2011).
22 Pojam je prvi put upotrebljen u radu Nova konceptualnost u romanima Jasne Horvat, autorice Andrijane Kos-Lajtman, koji je prihvaćen za tisak u američkom časopisu Journal of Croatian Studies no još nije objavljen.
23 Tako, primjerice, u poglavlju Vremenske veze Isabelle von Habsburg ulomci počinju veznicima i vezničkim skupovima priložnih vremenskih zavisnih rečenica: kada, otkako, jedva. Što se tiče tematsko-motivske, odnosno semantičke razine teksta, riječ je o poglavlju u kojemu glavna junakinja pokušava prevladati vrijeme – fantazmagorijom, tj. uhvatiti trenutak – fotografiranjem.
24 Unutar 15 poglavlja kombinira se 7 muških i 7 glavnih ženskih likova i jedan antropomorfizirani lik (kuća).
25 Fibonaccijev je niz beskonačan, a čine ga sljedeći brojevi: 1, 1, 2, 3, 5, 13, 21, 34, 55... Svaki broj koji slijedi nakon drugoga zbroj je prethodna dva broja u nizu: 1+1=2, 1+2=3, 2+3=5, 3+5=8, 5+8= 13... (Claphman i Nicholson 2009, 311-312).
26 Palindromska struktura pripovjednog teksta nužno provocira i načine čitanja, a upute za čitanje u posljednjem poglavlju romana daje pripovjedačica (ujedno i jedan od likova):
„Kan upire prstom na shemu s posljednjeg lista Vilikona. Marko mu govori kako je priče ispričane kanu njegova vila rasporedila po redovima magičnog kvadrata broja dvanaest. No, kada Marko ode iz kanova Carstva, kan će priče o vilama moći čitati i po stupcima, ali i po dijagonalama. Ponekad, neka ih čita s lijeva na desno, drugi put s desna na lijevo. Mijenjanjem pravila, s Markom ili bez njega, Veliki Kan i sam će postajati dijelom magičnog kvadrata.“ (Horvat 2012, 250-251)
